05 June 2018
1 mins clock icon

Global Sukuk: Relative Value

Non-conciliatory tone of ongoing trade discussions between the US and China and increasing geopolitical risks weighed on investor sentiment during the month.

author-avatar-placeholder

By Emirates NBD Research

shutterstock_381496150

Non-conciliatory tone of ongoing trade discussions between the US and China and increasing geopolitical risks weighed on investor sentiment during the month. Consequently the increase in safe haven bid saw yields on US treasuries to fall even though the Federal Reserve is set to raise rates again this month. Yields on 2yr, 5yr, 10yr and 30yr treasuries closed the month of May at 2.43% (-6bps m/m), 2.70% (-10bps m/m), 2.86% (-9bps m/m) and 3.03% (-9bps m/m) respectively.

Supported by falling benchmark yields, USD denominated bonds and sukuk portfolios received some respite, however, total return on Markit iboxx Emirates NBD sukuk index remained negative as credit spreads widened. Total return for the month was negative 0.9%, taking the YTD return to negative -2.0%. This is much in sync with a generalised sell off in EM bonds and sukuk as investors’ appetite for EM risk waned in the face of rising US rates, strengthening dollar and political uncertainties in several EM economies.

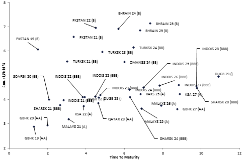
Looking at current yields, following relative value observations are made:

  1. In the sovereign sector :
  • BB rated TURKSK 21s, trading at yield of 5.77% appear cheaper than similar rated OMANGS 24s at yield of 5.55%.
  • KSA 22s, rated A, appear cheap at yield of 3.76% compared with similar rated MALAYS 21s at 3.20%, though maturity tenure on MALAYS 21s is a little shorter.

Sovereign Sukuk Universe

Source: Markit, Emirates NBD Research

Click here to Download Full article

 

Written By

author-avatar-placeholder

Emirates NBD Research Research Analyst


There was an error during your feedback!

Your feedback is valuable to us and will help us improve.

Emirates NBD Research

Related Articles

Subscribe to our newsletter and stay updated on the markets

There was an error during your newsletter subscription!

Please try again to stay updated with all the latest financial news and valuable insights.

Thank you for newsletter subscription!

To stay updated with all the latest financial news and valuable insights.